你好,欢迎来到中华试剂网 购试剂 买耗材! [请登录][注册有惊喜]

货号快速下单 | 签到送积分   | 会员中心 | 客服热线:400-021-2765

4-溴-7-氯-8-氟-2-苯基喹啉的合成路线

提问时间:2021/4/25 10:27:07
4-溴-7-氯-8-氟-2-苯基喹啉是什么,有什么方法可以合成?

1条回复:

匿名
2021/4/25 10:27:07
基本信息:
中文名称 4-溴-7-氯-8-氟-2-苯基喹啉
英文名称 4-Bromo-7-chloro-8-fluoro-2-phenylquinoline
英文别名 4-bromo-7-chloro-8-fluoro-2-phenyl-quinoline;
CAS号 867164-98-5

合成路线:
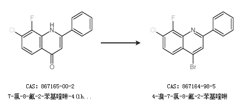
1.通过7-氯-8-氟-2-苯基喹啉-4(1h)-酮合成4-溴-7-氯-8-氟-2-苯基喹啉


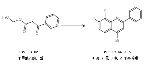
2.通过苯甲酰乙酸乙酯合成4-溴-7-氯-8-氟-2-苯基喹啉


中华试剂网提醒:合成路线仅供参考
回复