你好,欢迎来到中华试剂网 购试剂 买耗材! [请登录][注册有惊喜]

货号快速下单 | 签到送积分   | 会员中心 | 客服热线:400-021-2765

4-硝基苯基乙醛酸乙酯的合成路线

提问时间:2021/4/25 10:27:07
4-硝基苯基乙醛酸乙酯是什么,有什么方法可以合成?

1条回复:

匿名
2021/4/25 10:27:07
基本信息:
中文名称 4-硝基苯基乙醛酸乙酯
中文别名 对硝基苯基乙醛酸乙酯;
英文名称 ethyl 2-(4-nitrophenyl)-2-oxoacetate
英文别名 Ethyl 4-nitrobenzoylformate;Ethyl 4-nitrophenylglyoxylate;
CAS号 70091-75-7

合成路线:
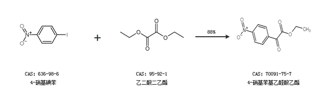
1.通过4-硝基碘苯合成4-硝基苯基乙醛酸乙酯


2.通过4-硝基碘苯和乙二酸二乙酯合成4-硝基苯基乙醛酸乙酯,收率约88%;


中华试剂网提醒:合成路线仅供参考
回复