你好,欢迎来到中华试剂网 购试剂 买耗材! [请登录][注册有惊喜]

货号快速下单 | 签到送积分   | 会员中心 | 客服热线:400-021-2765

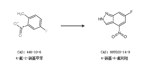
4-硝基-6-氟吲唑的合成路线

提问时间:2021/4/25 10:27:07
4-硝基-6-氟吲唑是什么,有什么方法可以合成?

1条回复:

匿名
2021/4/25 10:27:07
基本信息:
中文名称 4-硝基-6-氟吲唑
英文名称 6-Fluoro-4-nitro-1H-indazole
英文别名 4-nitro-6-fluoroindazole;6-Fluoro-4-nitroindazole;
CAS号 885520-14-9

合成路线:
1.通过4-氟-2-硝基甲苯合成4-硝基-6-氟吲唑


中华试剂网提醒:合成路线仅供参考
回复