基本信息:
中文名称 4-叔-丁基苯氧基乙酸
中文别名 4-叔丁基苯氧基乙酸;
英文名称 2-(4-tert-butylphenoxy)acetic acid
英文别名 (4-TERT-BUTYL-PHENOXY)-ACETIC ACID;TAC acid ([4-(1,1-Dimethylethyl)phenoxy]-acetic acid;4-TERT-BUTYLPHENOXYACETIC ACID;4-tert-Butylphenoxyacetic acid;para-t-butylphenoxyacetic acid;(4-tert.-Butylphenoxy)-essigsäure;
CAS号 1798-04-5
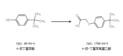
合成路线:
1.通过4-叔丁基苯酚和溴乙酸合成4-叔-丁基苯氧基乙酸

2.通过4-叔丁基苯酚合成4-叔-丁基苯氧基乙酸

中华试剂网提醒:合成路线仅供参考