基本信息:
中文名称 4-羟基哌啶
中文别名 对羟基哌啶;4-哌啶醇;
英文名称 4-Hydroxypiperidine
英文别名 4-Hydropiperidine;Piperidin-4-ol;4PPOL;AURORA KA-1006;piperdin-4-ol;4-Piperidinol;4-oxypiperidine;piperidin-4-ol;4-piperidinyl;4-hydroxy-piperidine;
CAS号 5382-16-1
合成路线:
1.通过4-羟基吡啶合成4-羟基哌啶,收率约99%;

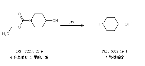
2.通过4-羟基哌啶-1-甲酸乙酯合成4-羟基哌啶,收率约84%;

中华试剂网提醒:合成路线仅供参考