基本信息:
中文名称 4-羟基-8-甲基喹啉-3-羧酸乙酯
中文别名 8-甲基-4-氧代-1,4-二氢喹啉-3-羧酸乙酯乙酯;
英文名称 Ethyl 4-hydroxy-8-methylquinoline-3-carboxylate
英文别名 ethyl 8-methyl-4-oxo-1H-quinoline-3-carboxylate;
CAS号 77156-75-3
合成路线:
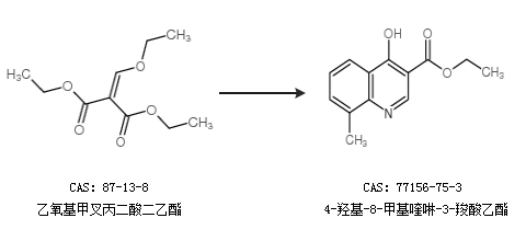
1.通过乙氧基甲叉丙二酸二乙酯合成4-羟基-8-甲基喹啉-3-羧酸乙酯

2.通过邻甲苯胺合成4-羟基-8-甲基喹啉-3-羧酸乙酯

中华试剂网提醒:合成路线仅供参考