基本信息:
中文名称 4-羟基-1-甲基-2-氧代-1,2-二氢-1,8-萘啶-3-羧酸乙酯
英文名称 ethyl 4-hydroxy-1-methyl-2-oxo-1,8-naphthyridine-3-carboxylate
英文别名 A9781;4-hydroxy-1,2-dihydro-1-methyl-2-oxo-1,8-naphthyridine-3-carboxylic acid,ethyl ester;ethyl4-hydroxy-1-methyl-2-oxo-1,2-dihydro-1,8-naphthyridine-3-carboxylate;
CAS号 77276-17-6
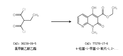
合成路线:
1.通过氯甲酰乙酸乙酯合成4-羟基-1-甲基-2-氧代-1,2-二氢-1,8-萘啶-3-羧酸乙酯

2.通过1H-吡啶并[2,3-d][1,3]噁嗪-2,4-二酮合成4-羟基-1-甲基-2-氧代-1,2-二氢-1,8-萘啶-3-羧酸乙酯

中华试剂网提醒:合成路线仅供参考