基本信息:
中文名称 4-吗啉-2-丁炔-1-醇
英文名称 4-morpholin-4-ylbut-2-yn-1-ol
英文别名 4-morpholino-4-but-2-yn-1-ol;4-morpholinobut-2-yn-1-ol;4-Morpholin-4-yl-but-2-yn-1-ol;4-morpholino-2-butyn-1-ol;
CAS号 4480-49-3
合成路线:
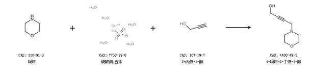
1.通过吗啉、硫酸铜,五水和2-丙炔-1-醇合成4-吗啉-2-丁炔-1-醇

2.通过吗啉、甲醛和2-丙炔-1-醇合成4-吗啉-2-丁炔-1-醇,收率约53%;

中华试剂网提醒:合成路线仅供参考