基本信息:
中文名称 4-氯-7-溴喹啉-3-羧酸乙酯
中文别名 7-溴-4-氯-3-喹啉羧酸乙酯;
英文名称 ethyl 7-bromo-4-chloroquinoline-3-carboxylate
英文别名 7-BROMO-4-CHLORO-QUINOLINE-3-CARBOXYLIC ACID ETHYL ESTER;ethyl 7-bromo-4-chloro-3-quinolinecarboxylate;4-Chloro-7-bromoquinoline-3-carboxylic acid ethyl ester;
CAS号 206257-41-2
合成路线:
1.通过7-溴-4-氧代-1,4-二氢喹啉-3-羧酸乙酯合成4-氯-7-溴喹啉-3-羧酸乙酯

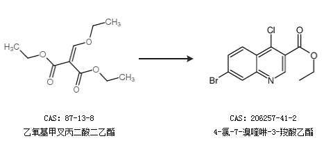
2.通过乙氧基甲叉丙二酸二乙酯合成4-氯-7-溴喹啉-3-羧酸乙酯

中华试剂网提醒:合成路线仅供参考