基本信息:
中文名称 4-氯-7-(三氟甲基)喹啉-3-羧酸
英文名称 4-chloro-7-(trifluoromethyl)quinoline-3-carboxylic acid
英文别名 4-Chloro-7-trifluoromethyl-quinoline-3-carboxylic acid;
CAS号 89524-63-0
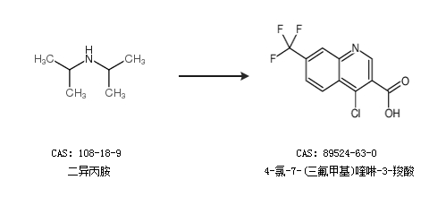
合成路线:
1.通过二异丙胺合成4-氯-7-(三氟甲基)喹啉-3-羧酸

2.通过4-氯-7-三氟甲基喹啉和二氧化碳合成4-氯-7-(三氟甲基)喹啉-3-羧酸

中华试剂网提醒:合成路线仅供参考