你好,欢迎来到中华试剂网 购试剂 买耗材! [请登录][注册有惊喜]

货号快速下单 | 签到送积分   | 会员中心 | 客服热线:400-021-2765

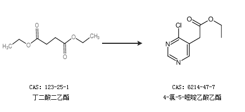
4-氯-5-嘧啶乙酸乙酯的合成路线

提问时间:2021/4/25 10:27:06
4-氯-5-嘧啶乙酸乙酯是什么,有什么方法可以合成?

1条回复:

匿名
2021/4/25 10:27:06
基本信息:
中文名称 4-氯-5-嘧啶乙酸乙酯
英文名称 Ethyl 2-(4-chloropyrimidin-5-yl)acetate
英文别名 ethyl 2-(4-chloropyrimidin-5-yl)acetate;
CAS号 6214-47-7

合成路线:
1.通过4-羟基-5-嘧啶乙酸乙酯合成4-氯-5-嘧啶乙酸乙酯,收率约93%;


2.通过丁二酸二乙酯合成4-氯-5-嘧啶乙酸乙酯


中华试剂网提醒:合成路线仅供参考
回复