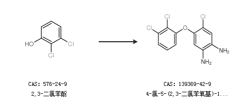
基本信息:
中文名称 4-氯-5-(2,3-二氯苯氧基)-1,2-苯二胺
英文名称 4-chloro-5-(2,3-dichlorophenoxy)benzene-1,2-diamine
英文别名 4-chloro-5-(2,3-dichlorophenoxy)-1,2-phenylenediamine;4-chloro-5-(2,3-dichlorophenoxy)-o-phenylenediamine;4-CHLORO-5-(2,3-DICHLORO-PHENOXY)-1,2-BENZENEDIAMINE;BEN002;1,2-Benzenediamine,4-chloro-5-(2,3-dichlorophenoxy);
CAS号 139369-42-9
合成路线:
1.通过2,3-二氯苯酚合成4-氯-5-(2,3-二氯苯氧基)-1,2-苯二胺

2.通过N-(4,5-二氯-2-硝基苯基)乙酰胺合成4-氯-5-(2,3-二氯苯氧基)-1,2-苯二胺

中华试剂网提醒:合成路线仅供参考