基本信息:
中文名称 4-氯-3-硝基苯磺酰氯
中文别名 3-硝基-4-氯苯磺酰氯;4-氯-3-硝基苯磺酸氯;
英文名称 4-Chloro-3-nitrobenzenesulfonyl chloride
英文别名 3-nitro-4-chlorosulfonyl chloride;4-chloro-3-nitrophenylsulfonyl chloride;3-nitro-4-chlorobenzenesulfonyl chloride;4-chloro-3-nitro-benzenesulfonyl chloride;Yellow Sulfon Chloride;3-nitro-4-chlorobenzene sulfonic acid chloride;4-Chloro-3-Nitrobenzene-1-Sulfonyl Chloride;Benzenesulfonyl chloride,4-chloro-3-nitro;
CAS号 97-08-5
合成路线:
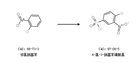
1.通过邻氯硝基苯合成4-氯-3-硝基苯磺酰氯

2.通过氨基磺酸和邻氯硝基苯合成4-氯-3-硝基苯磺酰氯,收率约90%;

中华试剂网提醒:合成路线仅供参考