基本信息:
中文名称 4-氯-2-苯基嘧啶-5-甲酸乙酯
中文别名 4-氯-2-苯基嘧啶-5-羧酸乙酯;乙基 4-氯-2-苯基嘧啶-5-羧酸乙酯;
英文名称 ethyl 4-chloro-2-phenylpyrimidine-5-carboxylate
英文别名 4-chloro-5-ethoxycarbonyl-2-phenylpyrimidine;ethyl 4-chloro-2-phenyl-pyrimidine-5-carboxylate;Ethyl 4-chloro-2-phenyl-5-pyrimidinecarboxylate;ethylchlorophenylpyrimidinecarboxylate;4-chlor-5-ethoxycarbonyl-2-phenylpyrimidin;ethyl 2-phenyl-4-chloropyrimidine-5-carboxylate;4-Chloro-2-phenyl-5-pyrimidinecarboxylic acid ethyl ester;
CAS号 24755-82-6
合成路线:
1.通过4-羟基-2-苯基嘧啶-5-甲酸乙酯合成4-氯-2-苯基嘧啶-5-甲酸乙酯,收率约95%;

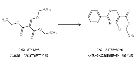
2.通过乙氧基甲叉丙二酸二乙酯合成4-氯-2-苯基嘧啶-5-甲酸乙酯

中华试剂网提醒:合成路线仅供参考