你好,欢迎来到中华试剂网 购试剂 买耗材! [请登录][注册有惊喜]

货号快速下单 | 签到送积分   | 会员中心 | 客服热线:400-021-2765

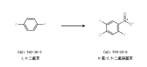
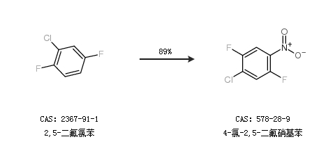
4-氯-2,5-二氟硝基苯的合成路线

提问时间:2021/4/25 10:27:06
4-氯-2,5-二氟硝基苯是什么,有什么方法可以合成?

1条回复:

匿名
2021/4/25 10:27:06
基本信息:
中文名称 4-氯-2,5-二氟硝基苯
英文名称 1-Chloro-2,5-difluoro-4-nitrobenzene
英文别名 1-chloro-2,5-difluoro-4-nitrobenzene;
CAS号 578-28-9

合成路线:
1.通过2,5-二氟氯苯合成4-氯-2,5-二氟硝基苯,收率约89%;


2.通过1,4-二氟苯合成4-氯-2,5-二氟硝基苯


中华试剂网提醒:合成路线仅供参考
回复