基本信息:
中文名称 4-氯-2-(哌啶-1-基)喹唑啉
英文名称 4-Chloro-2-(piperidin-1-yl)quinazoline
英文别名 (2-amino-5-chlorophenyl)-phenyl-methane-imine;4-chloro-2-(phenyliminomethyl)aniline;2-Amino-5-chlorobenzophenonimine;2-Amino-5-chlor-diphenylketoimin;4-chloro-2-piperidinoquinazoline;Benzenamine,4-chloro-2-(iminophenylmethyl);4-chloro-2-(iminophenylmethyl)-benzenamine;
CAS号 134962-82-6
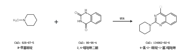
合成路线:
1.通过N-甲基哌啶和2,4-二氯喹唑啉合成4-氯-2-(哌啶-1-基)喹唑啉,收率约90%;

2.通过N-甲基哌啶和2,4-喹唑啉二酮合成4-氯-2-(哌啶-1-基)喹唑啉,收率约95%;

中华试剂网提醒:合成路线仅供参考