基本信息:
中文名称 4-甲基-2-哌啶酮
英文名称 4-Methyl-2-piperidinone
英文别名 4-Methyl-2-piperidino-pyrimidin-5-carbonsaeure-aethylester;4-methyl-2-piperidino-pyrimidine-5-carboxylic acid ethyl ester;4-Methyl-2-piperidone;4-Methyl-piperidin-2-on;4R-methylpiperidin-2-one;4-methyl-piperidin-2-one;
CAS号 4720-64-3
合成路线:
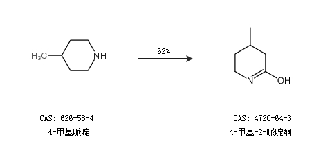
1.通过4-甲基哌啶合成4-甲基-2-哌啶酮,收率约62%;

2.通过3-甲基环戊酮和硫酸合成4-甲基-2-哌啶酮

中华试剂网提醒:合成路线仅供参考