你好,欢迎来到中华试剂网 购试剂 买耗材! [请登录][注册有惊喜]

货号快速下单 | 签到送积分   | 会员中心 | 客服热线:400-021-2765

4-甲苯磺酸酐的合成路线

提问时间:2021/4/25 10:27:06
4-甲苯磺酸酐是什么,有什么方法可以合成?

1条回复:

匿名
2021/4/25 10:27:06
基本信息:
中文名称 4-甲苯磺酸酐
中文别名 对甲苯磺酸酐;
英文名称 4-Methylbenzenesulfonic anhydride
英文别名 (4-methylphenyl)sulfonyl 4-methylbenzenesulfonate;p-Toluenesulfonic Anhydride;
CAS号 4124-41-8

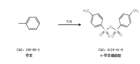
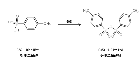
合成路线:
1.通过对甲苯磺酸合成4-甲苯磺酸酐,收率约80%;


2.通过甲苯合成4-甲苯磺酸酐,收率约71%;


中华试剂网提醒:合成路线仅供参考
回复