基本信息:
中文名称 4-甲苯磺酸钡盐
英文名称 barium(2+),4-methylbenzenesulfonate
英文别名 EINECS 218-237-5;p-toluenesulfonic acid,barium salt;Ba-Salz von p-Toluolsulfonsaeure;Toluol-4-sulfonsaeure,Barium-Verbindung;barium p-toluenesulfonate;toluene-4-sulfonic acid,barium compound;
CAS号 2090-08-6
合成路线:
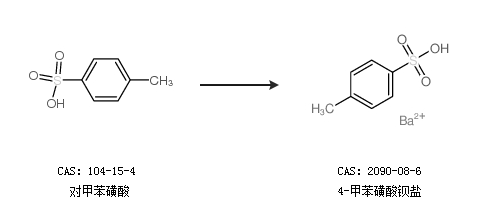
1.通过对甲苯磺酸合成4-甲苯磺酸钡盐

中华试剂网提醒:合成路线仅供参考