基本信息:
中文名称 4''-环己基苯乙酮
中文别名 4’-环己基苯乙酮;4-环己基树脂;
英文名称 1-(4-cyclohexylphenyl)ethanone
英文别名 4''-Cyclohexylacetophenone;p-cyclohexylacetophenone;para-cyclohexyl-acetophenone;4‘-Cyclohexylacetophenone;1-acetyl-4-cyclohexylbenzene;
CAS号 18594-05-3
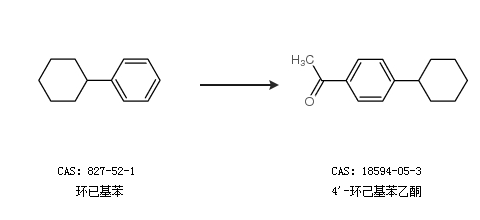
合成路线:
1.通过环已基苯和乙酰氯合成4''-环己基苯乙酮,收率约85%;

2.通过环已基苯合成4''-环己基苯乙酮

中华试剂网提醒:合成路线仅供参考