基本信息:
中文名称 4-氟吲哚-2-甲酸
中文别名 4-氟-1H-吲哚-2-甲酸;4-氟吲哚-2-羧酸;
英文名称 4-Fluoro-1H-indole-2-carboxylic acid
英文别名 4-Fluoroindole-2-carboxylic acid;4-fluoro-1H-indole-2-carboxylic acid;4-Fluoroindole-2-carboxylicacid;
CAS号 399-68-8
合成路线:
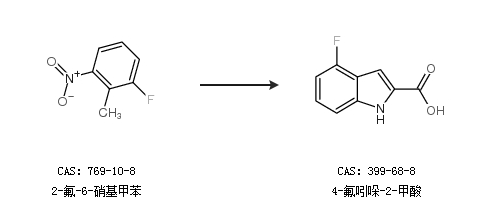
1.通过2-氟-6-硝基甲苯合成4-氟吲哚-2-甲酸

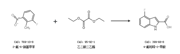
2.通过2-氟-6-硝基甲苯和乙二酸二乙酯合成4-氟吲哚-2-甲酸

中华试剂网提醒:合成路线仅供参考