基本信息:
中文名称 4-苯基-4-羟基哌啶
中文别名 4-羟基-4-苯基哌啶;4-羟基-4-苯基哌嗪;
英文名称 4-HYDROXY-4-PHENYLPIPERIDINE
英文别名 4-Phenylpiperidin-4-ol;4-Hydroxy-4-phenylpiperidine;4-Phenyl-4-piperidinol;4-phenylpiperidin-4-ol;
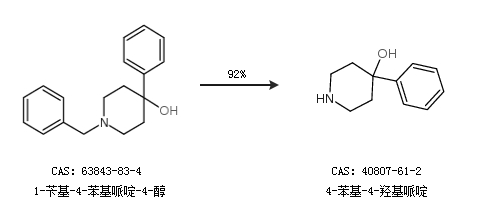
CAS号 40807-61-2
合成路线:
1.通过1-苄基-4-苯基哌啶-4-醇合成4-苯基-4-羟基哌啶,收率约92%;

2.通过4-甲氧基-7-吗啉苯并[d]噻唑-2-胺合成4-苯基-4-羟基哌啶

中华试剂网提醒:合成路线仅供参考