基本信息:
中文名称 4-氨基吡啶-3-磺酸
中文别名 4-氨基-3-吡啶磺酸一水合物;4-氨基-3-吡啶磺酸 一水合物;
英文名称 4-Aminopyridine-3-sulfonic acid
英文别名 A122;4-Amino-pyridin-3-sulfonsaeure;4-AMINO-PYRIDINE-3-SULFONIC ACID;4-amino-pyridine-3-sulfonic acid;4-Amino-3-Pyridinesulfonicacid;4-Aminopyridine-3-sulphonic acid;
CAS号 29452-57-1
合成路线:
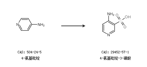
1.通过4-氨基吡啶合成4-氨基吡啶-3-磺酸

中华试剂网提醒:合成路线仅供参考