基本信息:
中文名称 4-[(4-溴苯基)氨基]-4-氧代丁酸
英文名称 4-(4-bromoanilino)-4-oxobutanoic acid
英文别名 3-[(4-bromophenyl)carbamoyl]propanoic acid;succinic acid mono-4-bromoanilide;Bernsteinsaeure-mono-(4-brom-anilid);Butanoic acid,4-[(4-bromophenyl)amino]-4-oxo;4-((4-bromophenyl)amino)-4-oxobutanoic acid;N-(4-Brom-phenyl)-succinamidsaeure;N-(4-bromo-phenyl)-succinamic acid;4-Brom-succinanilsaeure;
CAS号 25589-41-7
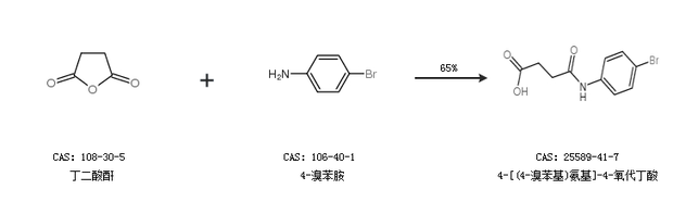
合成路线:
1.通过丁二酸酐和4-溴苯胺合成4-[(4-溴苯基)氨基]-4-氧代丁酸,收率约65%;

2.通过琥珀酸一酰苯胺合成4-[(4-溴苯基)氨基]-4-氧代丁酸

中华试剂网提醒:合成路线仅供参考