基本信息:
中文名称 4,6-二羟基-5-甲氧基嘧啶
中文别名 6-羟基-5-甲氧基-4(1H)嘧啶酮;5-甲氧基-4,6-嘧啶二醇;
英文名称 4,6-Dihydroxy-5-methoxypyrimidine
英文别名 5-methoxy-1H-pyrimidine-4,6-dione;5-METHOXY-PYRIMIDINE-4,6-DIOL;5-methoxy-4,6-dihydroxy-pyrimidine;2,4,6-TRIMETHYLPYRIDINE-D11;4.6-Dihydroxy-5-methoxy-pyrimidin;5-Methoxy-4,6-pyrimidinediol;
CAS号 5193-84-0
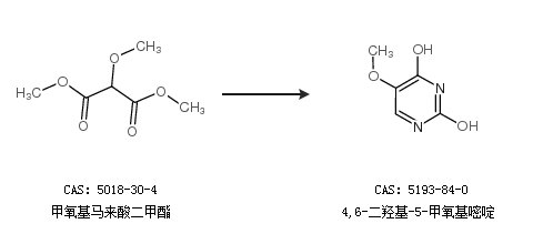
合成路线:
1.通过甲氧基马来酸二甲酯合成4,6-二羟基-5-甲氧基嘧啶

中华试剂网提醒:合成路线仅供参考