基本信息:
中文名称 4,6-二氯吲哚-2-甲酸
中文别名 4,6-二氯吲哚-2-羧酸;4,6-二氯-1H-吲哚-2-甲酸;
英文名称 4,6-Dichloro-1H-indole-2-carboxylic acid
英文别名 3-Dccip;4,6-dichloro-indole-2-carboxylic acid;1H-Indole-2-carboxylicacid,4,6-dichloro;4,6-Dichloroindole-2-carboxylic acid;4,6-Dichlor-indol-2-carbonsaeure;4,6-Dichloro-1H-indole-2-carboxylicacid;
CAS号 101861-63-6
合成路线:
1.通过4,6-二氯吲哚-2-甲酸乙酯合成4,6-二氯吲哚-2-甲酸,收率约85%;

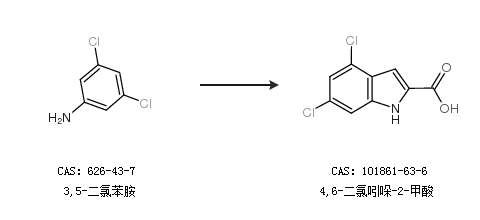
2.通过3,5-二氯苯胺合成4,6-二氯吲哚-2-甲酸

中华试剂网提醒:合成路线仅供参考