你好,欢迎来到中华试剂网 购试剂 买耗材! [请登录][注册有惊喜]

货号快速下单 | 签到送积分   | 会员中心 | 客服热线:400-021-2765

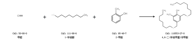
4,6-二(辛硫甲基)邻甲酚的合成路线

提问时间:2021/4/25 10:27:05
4,6-二(辛硫甲基)邻甲酚是什么,有什么方法可以合成?

1条回复:

匿名
2021/4/25 10:27:05
基本信息:
中文名称 4,6-二(辛硫甲基)邻甲酚
中文别名 抗氧剂 1520;
英文名称 2-Methyl-4,6-bis(octylsulfanylmethyl)phenol
英文别名 Antioxidant 1520;At 1520;IRGANOX 1520;
CAS号 110553-27-0

合成路线:
1.通过1-辛硫醇和2-甲酚合成4,6-二(辛硫甲基)邻甲酚,收率约94%;


2.通过甲醛、1-辛硫醇和2-甲酚合成4,6-二(辛硫甲基)邻甲酚


中华试剂网提醒:合成路线仅供参考
回复