基本信息:
中文名称 4,4''-(六氟异丙烯)二酞酸酐
中文别名 2,2`-双(3,4-二羧酸)六氟丙烷二酐;六氟二酐;
英文名称 4,4''-(Hexafluoroisopropylidene)diphthalic anhydride
英文别名 5-[2-(1,3-dioxo-2-benzofuran-5-yl)-1,1,1,3,3,3-hexafluoropropan-2-yl]-2-benzofuran-1,3-dione;6f-dianhydride;5,5''-(Perfluoropropane-2,2-diyl)bis(isobenzofuran-1,3-dione);
CAS号 1107-00-2
合成路线:
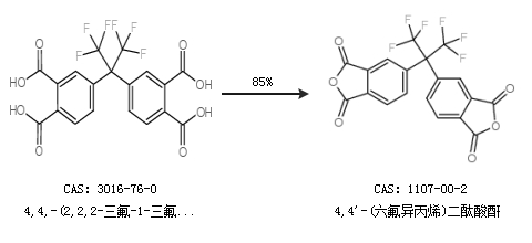
1.通过4,4,-(2,2,2-三氟-1-三氟甲基)亚乙基双(1,2-苯二甲酸)合成4,4''-(六氟异丙烯)二酞酸酐,收率约85%;

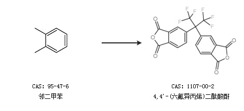
2.通过邻二甲苯合成4,4''-(六氟异丙烯)二酞酸酐

中华试剂网提醒:合成路线仅供参考