基本信息:
中文名称 4-(4-硝基苯偶氮)间苯二酚
中文别名 镁试剂 Ι;2,4-二羟基-4''-硝基偶氮苯;(对硝基苯偶氮)间苯二酚;偶氮紫;镁试剂I;镁试剂Ⅰ;镁试剂;
英文名称 4-(4-nitrophenylazo)resorcinol
英文别名 4-(4-Nitrophenylazo)resorcinol;4-(4-NITROPHENYLAZO)RESORCINOL;
CAS号 74-39-5
合成路线:
1.通过4-硝基苯胺和间苯二酚合成4-(4-硝基苯偶氮)间苯二酚,收率约86%;

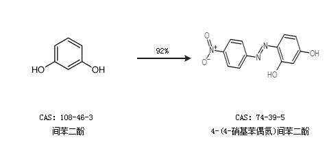
2.通过间苯二酚合成4-(4-硝基苯偶氮)间苯二酚,收率约92%;

中华试剂网提醒:合成路线仅供参考