你好,欢迎来到中华试剂网 购试剂 买耗材! [请登录][注册有惊喜]

货号快速下单 | 签到送积分   | 会员中心 | 客服热线:400-021-2765

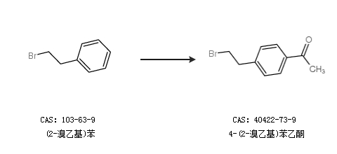
4-(2-溴乙基)苯乙酮的合成路线

提问时间:2021/4/25 10:27:05
4-(2-溴乙基)苯乙酮是什么,有什么方法可以合成?

1条回复:

匿名
2021/4/25 10:27:05
基本信息:
中文名称 4-(2-溴乙基)苯乙酮
英文名称 1-[4-(2-bromoethyl)phenyl]ethanone
英文别名 EINECS 254-914-1;
CAS号 40422-73-9

合成路线:
1.通过(2-溴乙基)苯和乙酰氯合成4-(2-溴乙基)苯乙酮,收率约75%;


2.通过(2-溴乙基)苯合成4-(2-溴乙基)苯乙酮


中华试剂网提醒:合成路线仅供参考
回复