基本信息:
中文名称 4-(2,6-二-叔丁基-4-(2-(3,5-二-叔丁基-4-羟基苯基硫代)丙烷-2-基硫代)苯氧基)丁酸
英文名称 4-[2,6-ditert-butyl-4-[2-(3,5-ditert-butyl-4-hydroxyphenyl)sulfanylpropan-2-ylsulfanyl]phenoxy]butanoic acid
英文别名 Elsibucol;UNII-O7T92N1Y8T;
CAS号 216167-95-2
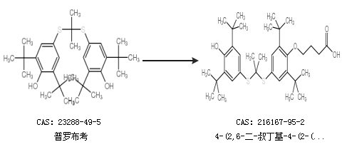
合成路线:
1.通过普罗布考合成4-(2,6-二-叔丁基-4-(2-(3,5-二-叔丁基-4-羟基苯基硫代)丙烷-2-基硫代)苯氧基)丁酸

2.通过4-氯丁酸甲酯和普罗布考合成4-(2,6-二-叔丁基-4-(2-(3,5-二-叔丁基-4-羟基苯基硫代)丙烷-2-基硫代)苯氧基)丁酸

中华试剂网提醒:合成路线仅供参考