你好,欢迎来到中华试剂网 购试剂 买耗材! [请登录][注册有惊喜]

货号快速下单 | 签到送积分   | 会员中心 | 客服热线:400-021-2765

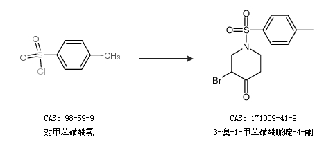
3-溴-1-甲苯磺酰哌啶-4-酮的合成路线

提问时间:2021/4/25 10:27:05
3-溴-1-甲苯磺酰哌啶-4-酮是什么,有什么方法可以合成?

1条回复:

匿名
2021/4/25 10:27:05
基本信息:
中文名称 3-溴-1-甲苯磺酰哌啶-4-酮
英文名称 3-bromo-1-(4-methylphenyl)sulfonylpiperidin-4-one
英文别名 3-bromo-1-tosylpiperidin-4-one;
CAS号 171009-41-9

合成路线:
1.通过4-氧代哌啶酮盐酸盐合成3-溴-1-甲苯磺酰哌啶-4-酮


2.通过对甲苯磺酰氯合成3-溴-1-甲苯磺酰哌啶-4-酮


中华试剂网提醒:合成路线仅供参考
回复