你好,欢迎来到中华试剂网 购试剂 买耗材! [请登录][注册有惊喜]

货号快速下单 | 签到送积分   | 会员中心 | 客服热线:400-021-2765

3-硝基苯磺酰胺的合成路线

提问时间:2021/4/25 10:27:05
3-硝基苯磺酰胺是什么,有什么方法可以合成?

1条回复:

匿名
2021/4/25 10:27:05
基本信息:
中文名称 3-硝基苯磺酰胺
中文别名 间硝基苯磺酰胺;
英文名称 3-Nitrobenzenesulfonamide
英文别名 3-NitrobenzenesulfonaMide;3-NITROBENZENESULFONAMIDE;
CAS号 121-52-8

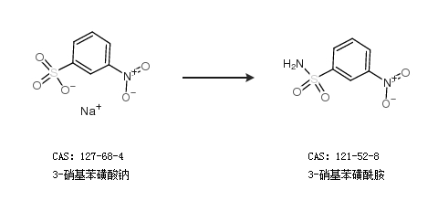
合成路线:
1.通过N-异丙基-3-硝基苯磺酰胺合成3-硝基苯磺酰胺,收率约90%;


2.通过3-硝基苯磺酸钠合成3-硝基苯磺酰胺


中华试剂网提醒:合成路线仅供参考
回复