你好,欢迎来到中华试剂网 购试剂 买耗材! [请登录][注册有惊喜]

货号快速下单 | 签到送积分   | 会员中心 | 客服热线:400-021-2765

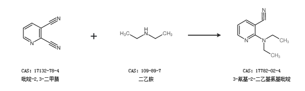
3-氰基-2-二乙基氨基吡啶的合成路线

提问时间:2021/4/25 10:27:05
3-氰基-2-二乙基氨基吡啶是什么,有什么方法可以合成?

1条回复:

匿名
2021/4/25 10:27:05
基本信息:
中文名称 3-氰基-2-二乙基氨基吡啶
英文名称 2-(diethylamino)pyridine-3-carbonitrile
英文别名 3-Cyano-2-diethylaminopyridine;2-Diethylamino-nicotinonitrile;
CAS号 17782-02-4

合成路线:
1.通过吡啶-2,3-二甲腈和二乙胺合成3-氰基-2-二乙基氨基吡啶


中华试剂网提醒:合成路线仅供参考
回复