基本信息:
中文名称 3-氯-4-(4,4,5,5-四甲基-1,3,2-二噁硼烷-2-基)-1-(三异丙基甲硅烷基)-1H-吡咯)
英文名称 [3-chloro-4-(4,4,5,5-tetramethyl-1,3,2-dioxaborolan-2-yl)pyrrol-1-yl]-tri(propan-2-yl)silane
英文别名 3-CHLORO-4-(4,4,5,5-TETRAMETHYL-1,3,2-DIOXABOROLAN-2-YL)-1-(TRIISOPROPYLSILYL)-PYRROLE;3-chloro-4-(4'',4'',5'',5''-tetramethyl-1'',3'',2''-dioxaborolan-2''-yl)-N-(TIPS)pyrrole;3-CHLORO-4-(4,4,5,5-TETRAMETHYL-1,3,2-DIOXABOROLAN-2-YL)-1-(TRIISOPROPYLSILYL)-1H-PYRROLE;
CAS号 1126425-82-8
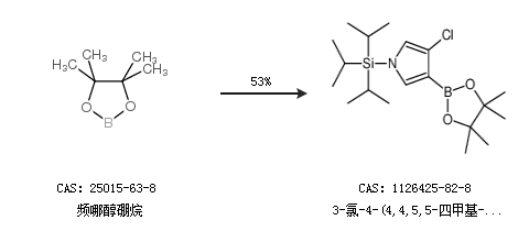
合成路线:
1.通过频哪醇硼烷合成3-氯-4-(4,4,5,5-四甲基-1,3,2-二噁硼烷-2-基)-1-(三异丙基甲硅烷基)-1H-吡咯),收率约77%;

2.通过频哪醇硼烷合成3-氯-4-(4,4,5,5-四甲基-1,3,2-二噁硼烷-2-基)-1-(三异丙基甲硅烷基)-1H-吡咯),收率约53%;

中华试剂网提醒:合成路线仅供参考