你好,欢迎来到中华试剂网 购试剂 买耗材! [请登录][注册有惊喜]

货号快速下单 | 签到送积分   | 会员中心 | 客服热线:400-021-2765

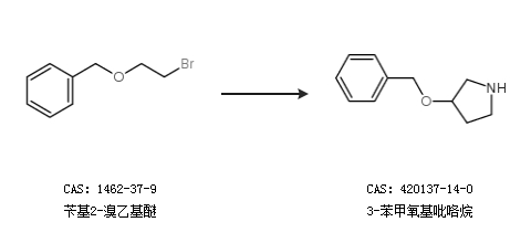
3-苯甲氧基吡咯烷的合成路线

提问时间:2021/4/25 10:27:02
3-苯甲氧基吡咯烷是什么,有什么方法可以合成?

1条回复:

匿名
2021/4/25 10:27:02
基本信息:
中文名称 3-苯甲氧基吡咯烷
中文别名 3-(苄氧基)吡咯烷;
英文名称 3-Benzyloxypyrrolidine
英文别名 3-(BENZYLOXY)PYRROLIDINE;
CAS号 420137-14-0

合成路线:
1.通过2-苄氧基乙醇合成3-苯甲氧基吡咯烷


2.通过苄基2-溴乙基醚合成3-苯甲氧基吡咯烷


中华试剂网提醒:合成路线仅供参考
回复