基本信息:
中文名称 3-氨基戊二酸
英文名称 isoglutamic acid
英文别名 3-AMINOPENTANEDIOIC ACID;3-Aminoglutarate;3-Aminopentanedioic acid;3-aminopentanedioate;3-aminopentane-1,5-dioic acid;3-Aminoglutaric acid;Isoglutamate;
CAS号 1948-48-7
合成路线:
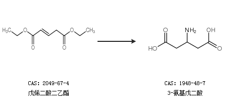
1.通过戊烯二酸二乙酯合成3-氨基戊二酸

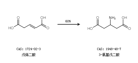
2.通过戊烯二酸合成3-氨基戊二酸,收率约60%;

中华试剂网提醒:合成路线仅供参考