基本信息:
中文名称 3-氨基丙酰胺
中文别名 Beta-丙氨酸酰胺;
英文名称 β-alaninamide
英文别名 beta-alaninamide;3-aminopropanamide;Propanamide,3-amino;3-AMINO-PROPIONAMIDE;|A-alaninamide;3-amino-propanamide;3-amino-propylamide;
CAS号 4726-85-6
合成路线:
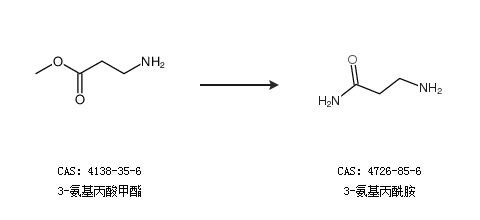
1.通过3-氨基丙酸甲酯合成3-氨基丙酰胺

2.通过丙烯酰胺合成3-氨基丙酰胺

中华试剂网提醒:合成路线仅供参考