你好,欢迎来到中华试剂网 购试剂 买耗材! [请登录][注册有惊喜]

货号快速下单 | 签到送积分   | 会员中心 | 客服热线:400-021-2765

3-氨基-5-苯基吡唑的合成路线

提问时间:2021/4/25 10:27:01
3-氨基-5-苯基吡唑是什么,有什么方法可以合成?

1条回复:

匿名
2021/4/25 10:27:01
基本信息:
中文名称 3-氨基-5-苯基吡唑
中文别名 5-氨基-3-苯基吡唑;
英文名称 3-Amino-5-Phenylpyrazole
英文别名 3-PHENYL-1H-PYRAZOL-5-AMINE;3-Amino-5-phenylpyrazole;
CAS号 1572-10-7

合成路线:
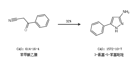
1.通过苯甲酰乙腈合成3-氨基-5-苯基吡唑,收率约32%;


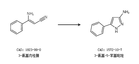
2.通过3-氨基肉桂腈合成3-氨基-5-苯基吡唑


中华试剂网提醒:合成路线仅供参考
回复