基本信息:
中文名称 3-[[[(1,1-二甲基乙氧基)羰基]氨基]甲基]-1,2,4-噁二唑-5-羧酸乙酯
英文名称 ethyl 3-[[(2-methylpropan-2-yl)oxycarbonylamino]methyl]-1,2,4-oxadiazole-5-carboxylate
英文别名 3-(tert-butoxycarbonylamino-methyl)-[1,2,4]oxadiazole-5-carboxylic acid ethyl ester;Ethyl 3-((tert-butoxycarbonylamino)methyl)-1,2,4-oxadiazole-5-carboxylate;
CAS号 612511-76-9
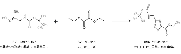
合成路线:
1.通过2-氨基-2-(羟基亚氨基)乙基氨基甲酸叔丁酯和乙二酸二乙酯合成3-[[[(1,1-二甲基乙氧基)羰基]氨基]甲基]-1,2,4-噁二唑-5-羧酸乙酯

中华试剂网提醒:合成路线仅供参考