基本信息:
中文名称 3,5-二溴-1H-吲哚-2-甲酸乙酯
中文别名 3,5-二溴吲哚-2-甲酸乙酯;5-溴-吲哚-2-甲酸乙酯;
英文名称 ethyl 3,5-dibromo-1H-indole-2-carboxylate
英文别名 3,5-Dibrom-indol-2-carbonsaeure-aethylester;Ethyl 3,5-dibromoindole-2-carboxylate;ethyldibromoindolecarboxylate;3,5-dibromo-indole-2-carboxylic acid ethyl ester;
CAS号 77185-78-5
合成路线:
1.通过5-溴吲哚-2-羧酸乙酯合成3,5-二溴-1H-吲哚-2-甲酸乙酯,收率约73%;

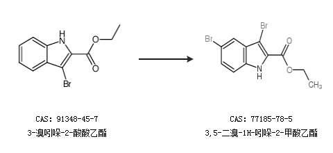
2.通过3-溴吲哚-2-酸酸乙酯合成3,5-二溴-1H-吲哚-2-甲酸乙酯

中华试剂网提醒:合成路线仅供参考