基本信息:
中文名称 3,5-二硝基-2-氨基吡啶
中文别名 3,5-二硝基-吡啶-2-胺;2-氨基-3,5-二硝基吡啶;
英文名称 3,5-dinitropyridin-2-amine
英文别名 3,5-dinitro-pyridin-2-ylamine;6-Amino-3,5-dinitropyridine;2-Pyridinamine,3,5-dinitro;3,5-dinitro-2-aminopyridine;3,5-dinitro-2-pyridylamine;2-amino-3,5-dinitro-pyridine;
CAS号 3073-30-1
合成路线:
1.通过2-氯-3,5-二硝基吡啶合成3,5-二硝基-2-氨基吡啶,收率约92%;

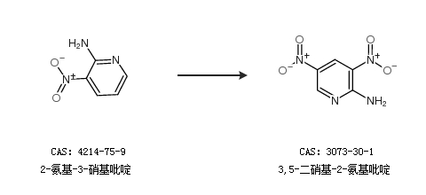
2.通过2-氨基-3-硝基吡啶合成3,5-二硝基-2-氨基吡啶

中华试剂网提醒:合成路线仅供参考