基本信息:
中文名称 3,4-二甲基-5-吡唑啉酮
中文别名 3,4-二甲基-4,5-二氢-1H-吡唑-5-酮;
英文名称 3,4-Dimethyl-5-pyrazolone
英文别名 3,4-dimethyl-1,4-dihydropyrazol-5-one;
CAS号 6628-22-4
合成路线:
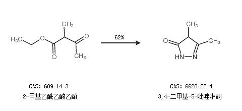
1.通过2-甲基乙酰乙酸乙酯合成3,4-二甲基-5-吡唑啉酮,收率约62%;

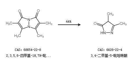
2.通过2,3,5,6-四甲基-1H,7H-吡唑并[1,2-a]吡唑-1,7-二酮合成3,4-二甲基-5-吡唑啉酮,收率约44%;

中华试剂网提醒:合成路线仅供参考