基本信息:
中文名称 3,3’,5,5’-四甲基联苯双酚二缩水甘油醚
中文别名 3,3''-,5''-四甲基联苯双酚二缩水甘油醚;3,3''5,5''-四甲基联苯双酚二缩水甘油醚;
英文名称 4,4''-Bis(2,3-epoxypropoxy)-3,3'',5,5''-tetramethylbiphenyl
英文别名 2-[[4-[3,5-dimethyl-4-(oxiran-2-ylmethoxy)phenyl]-2,6-dimethylphenoxy]methyl]oxirane;
CAS号 85954-11-6
合成路线:
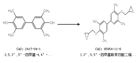
1.通过3,5,3’,5’-四甲基-4,4’-二羟基联苯和环氧氯丙烷合成3,3’,5,5’-四甲基联苯双酚二缩水甘油醚

2.通过3,5,3’,5’-四甲基-4,4’-二羟基联苯合成3,3’,5,5’-四甲基联苯双酚二缩水甘油醚

中华试剂网提醒:合成路线仅供参考