你好,欢迎来到中华试剂网 购试剂 买耗材! [请登录][注册有惊喜]

货号快速下单 | 签到送积分   | 会员中心 | 客服热线:400-021-2765

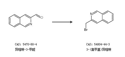
3-(溴甲基)异喹啉的合成路线

提问时间:2021/4/25 10:27:00
3-(溴甲基)异喹啉是什么,有什么方法可以合成?

1条回复:

匿名
2021/4/25 10:27:00
基本信息:
中文名称 3-(溴甲基)异喹啉
英文名称 3-(Bromomethyl)isoquinoline
英文别名 A7964;3-Brommethyl-isochinolin;3-bromomethyl-isoquinoline;
CAS号 54804-44-3

合成路线:
1.通过3-甲醇异喹啉合成3-(溴甲基)异喹啉


2.通过异喹啉-3-甲醛合成3-(溴甲基)异喹啉


中华试剂网提醒:合成路线仅供参考
回复