你好,欢迎来到中华试剂网 购试剂 买耗材! [请登录][注册有惊喜]

货号快速下单 | 签到送积分   | 会员中心 | 客服热线:400-021-2765

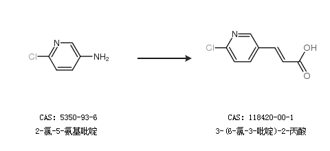
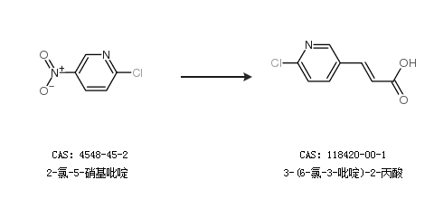
3-(6-氯-3-吡啶)-2-丙酸的合成路线

提问时间:2021/4/25 10:27:00
3-(6-氯-3-吡啶)-2-丙酸是什么,有什么方法可以合成?

1条回复:

匿名
2021/4/25 10:27:00
基本信息:
中文名称 3-(6-氯-3-吡啶)-2-丙酸
英文名称 (E)-3-(6-Chloropyridin-3-yl)acrylic acid
英文别名 3-(6-chloropyridin-3-yl)prop-2-enoic acid;
CAS号 118420-00-1

合成路线:
1.通过2-氯-5-硝基吡啶合成3-(6-氯-3-吡啶)-2-丙酸


2.通过2-氯-5-氨基吡啶合成3-(6-氯-3-吡啶)-2-丙酸


中华试剂网提醒:合成路线仅供参考
回复