基本信息:
中文名称 3-(4,4-二甲基-2-氧代-2,4-二氢-1H-苯并[d][1,3]噁嗪)-5-氟苯甲腈
英文名称 3-(4,4-dimethyl-2-oxo-1H-3,1-benzoxazin-6-yl)-5-fluorobenzonitrile
英文别名 Benzonitrile,3-(1,4-dihydro-4,4-dimethyl-2-oxo-2H-3,1-benzoxazin-6-yl)-5-fluoro;Wy4h;3-(4,4-dimethyl-2-oxo-1,4-dihydro-2H-benzo[d][1,3]oxazin-6-yl)-5-fluorobenzonitrile;PRA 910;
CAS号 304853-30-3
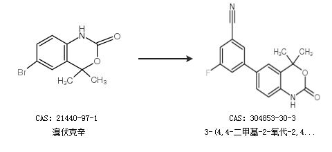
合成路线:
1.通过3-氯-5-氟苯腈合成3-(4,4-二甲基-2-氧代-2,4-二氢-1H-苯并[d][1,3]噁嗪)-5-氟苯甲腈,收率约82%;

2.通过溴伏克辛合成3-(4,4-二甲基-2-氧代-2,4-二氢-1H-苯并[d][1,3]噁嗪)-5-氟苯甲腈

中华试剂网提醒:合成路线仅供参考