基本信息:
中文名称 2-乙酰基-5-硝基苯并[b]呋喃
中文别名 2-乙酰-5-硝基苯并[B]呋喃;
英文名称 1-(5-nitro-1-benzofuran-2-yl)ethanone
英文别名 5-Nitro-2-acetyl-benzofuran;2-Acetyl-5-nitrobenzofuran;
CAS号 23136-39-2
合成路线:
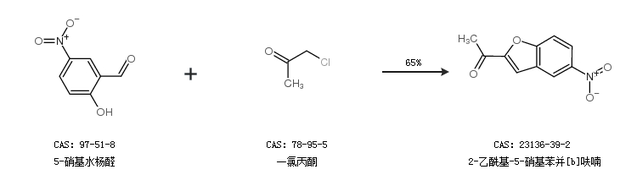
1.通过5-硝基水杨醛和一氯丙酮合成2-乙酰基-5-硝基苯并[b]呋喃,收率约65%;

2.通过5-硝基水杨醛和溴丙酮合成2-乙酰基-5-硝基苯并[b]呋喃,收率约91%;

中华试剂网提醒:合成路线仅供参考