基本信息:
中文名称 2-乙基丙烯酰氯
英文名称 2-methylidenebutanoyl chloride
英文别名 2-Ethylacryloyl chloride;2-methylenebutanoyl chloride;2-ethyl-2-propenoyl chloride;chloride of 2-ethylpropenoic acid;I04-9948;Butanoyl chloride,2-methylene;2-methylenebutyryl chloride;
CAS号 4390-96-9
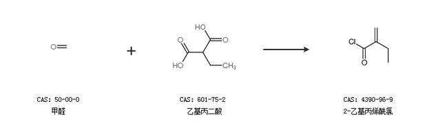
合成路线:
1.通过2-乙基丙烯酸合成2-乙基丙烯酰氯,收率约95%;

2.通过甲醛和乙基丙二酸合成2-乙基丙烯酰氯

中华试剂网提醒:合成路线仅供参考