基本信息:
中文名称 2-乙基苯并咪唑
中文别名 2乙基-1H-苯并咪唑;2-乙基-1H-苯并[D]咪唑;
英文名称 2-ethyl-1H-benzimidazole
英文别名 2-ethylbenzoimidazole;BENZIMIDAZOLE,2-ETHYL;EINECS 217-433-8;2-ethyl-1H-1,3-benzodiazole;2-Ethyl-1H-benzoimidazole;1H-Benzimidazole,2-ethyl;2-Ethyl-1H-benzo[d]imidazole;2-Ethylbenzimidazole;
CAS号 1848-84-6
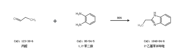
合成路线:
1.通过1,2-苯二胺合成2-乙基苯并咪唑,收率约99%;

2.通过丙醛和1,2-苯二胺合成2-乙基苯并咪唑,收率约86%;

中华试剂网提醒:合成路线仅供参考